成人色情

【成人色情 】CO2浓度和地表温度关系领域研究取得新进展

来源: 作者: 发布时间:2020-04-09 浏览次数:

受全球变暖影响,极端性天气事件和气候灾害频发,给自然生态和人类社会的可持续发展带来了严峻挑战。人类活动排放大量CO2是引起全球变暖的主要原因。卫星观测发现大气CO2浓度分布存在非均匀动态分布,在时间上有年际和季节性的差异,在空间上也存在着显著差异。以往研究CO2浓度和地表温度的关系多局限于全球平均的CO2浓度和地表温度之间的关系,缺乏非均匀动态分布CO2浓度和地表温度的关系的认识。

2020年1月28日,成人色情 学者的一篇探究非均匀动态分布CO2浓度和地表温度关系的文章已发表在地球科学领域知名期刊《Geophysical research letters》,揭示Rossby波在CO2浓度和地表温度关系的作用。

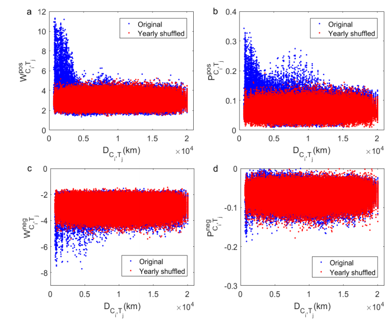
该论文作者们提出一种双层气候网络方法解析不均匀CO2浓度和地表温度之间的关系。通过构建对流层中层CO2浓度和地表温度双层复杂网络,作者们发现,正权值在大约7000 km的距离有一个增强分布,对应于Rossby波的一倍波长(图1a和1b所示)。大部分强相关连接位于近距离(小于2000 km),说明CO2浓度和当地地表温度具有很强的相关性。与这些距离相关时滞的群速度分析与Rossby波群速度一致。耦合网络中度、加权度和连边长度的概率密度函数(PDF)服从幂律分布(图2所示)。加权度空间分布模式也符合Rossby波的性质(图3所示)。此外,CO2浓度和500hpa温度的耦合网络的研究也巩固了耦合网络与罗斯比波之间的关联。

 

图1. 正负向关联和距离的函数。(a)正向连接权重,(b)正向相关系数,(c)负向连接权重,(d)负向相关系数。蓝色为原始数据,红色为随机重排数据。

 

图2. PDF分布(红色圆点表示),蓝色为拟合线。 (a)度,(b)加权度,(c)连边长度.

 

图3. 加权出入度空间分布。(a)和(b)为CO2和地表温度加权入度,(c)和(d)为CO2和地表温度加权出度.

本文提出的多层网络方法揭示Rossby波对不均匀分布的CO2浓度与地表温度之间的关系有一定的影响。作者们认为CO2浓度与地表温度关系具有显著的空间差异性,并且敏感区位于西欧、北美和中国等地区,这些敏感区域与CO2浓度快速增加以及强变暖区域重合。本论文研究结果有助于深化CO2浓度和地表温度关系的认识,对制定碳减策略和减缓气候变化有着重要意义。

成人色情 地理科学学部博士、中国环境科学研究院营娜为第一作者,地理科学学部叶谦教授,北京航空航天大学周栋副教授,成人色情 韩战钢教授,陈清华教授等共同参与完成。成人色情 的研究人员多年来一直从事复杂系统及相关课题的研究,这是近年来关注复杂网络与气候变化交叉研究所产生的研究成人色情 。

该研究是国家重点研发计划:碳排放和碱碳社会经济代价研究(2016YFA0602503)的一部分。