研究成人色情 :Sun X-Y, Ding Z-J, Huang G-H, (2016). Effect of density feedback on the two-route traffic scenario with bottleneck, International Journal of Modern Physics C, 27 (6): 1650058.
简介:
实际交通出行时,经常面临路径选择问题。同时,随着智能交通的发展,交通信息获取的途径越来越多,信息对出行路径的影响也不容忽视。本文利用元胞自动机模型,分析了交通中反馈车辆密度信息对司机路径选择的影响。研究发现,不同的车辆到达概率下,交通系统存在自由流态、转化态、最大流量态和拥堵态,文章给出了这几种状态存在的条件。
Abstract:
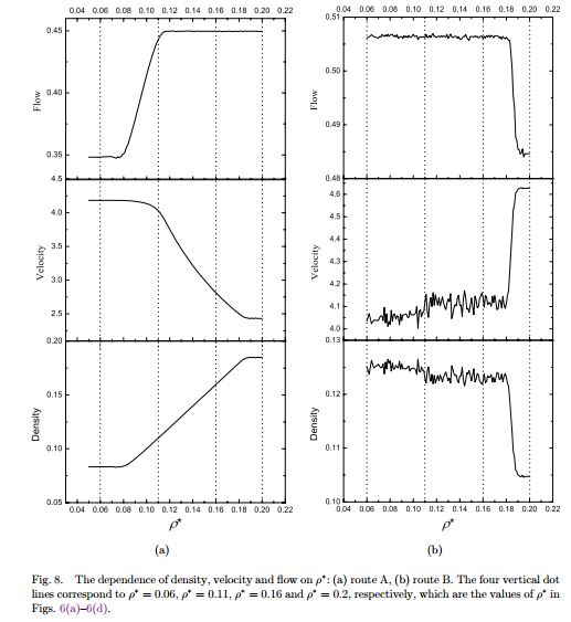
In this paper, we investigate the effect of density feedback on the two-route scenario with a bottleneck. The simulation and theory analysis shows that there exist two critical vehicle entry probabilities αc1 and αc2. When vehicle entry probability α ≤ αc1, four different states, i.e. free flow state, transition state, maximum current state and congestion state are identified in the system, which correspond to three critical reference densities. However, in the interval αc1 < α <αc2, the free flow and transition state disappear, and there is only congestion state when α ≥ αc2. According to the results, traffic control center can adjust the reference density so that the system is in maximum current state. In this case, the capacity of the traffic system reaches maximum so that drivers can make full use of the roads. We hope that the study results can provide good advice for alleviating traffic jam and be useful to traffic control center for designing advanced traveler information systems.
原文链接://www.worldscientific.com/doi/abs/10.1142/S0129183116500583



